温州出租汽车驾驶员从业资格申请指南

受理条件
(一)取得相应准驾车型机动车驾驶证并具有3年以上驾驶经历;
(二)无交通肇事犯罪、危险驾驶犯罪记录,无吸毒记录,无饮酒后驾驶记录,最近连续3个记分周期内没有记满12分记录;
(三)无暴力犯罪记录;
(四)经道路运输管理机构对有关法律、法规和服务规范、服务知识、机动车维修和旅客急救基本技能等内容考试合格。
城市人民政府可以根据地方实际规定其他条件。
申报材料
1、浙江省道路运输办事事项申请书,纸质或电子档一份
2、近期二寸免冠彩色证件照片,纸质或电子档两份
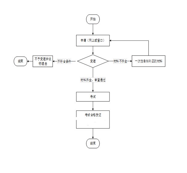
办理流程图
线下办理地点
具体地址: 温州市民中心(温州市鹿城区滨江街道会展路1288号)B幢一楼165、166窗口
办理时间: 工作日,夏季:上午8:30-12:00,下午2:30-5:30;春,秋,冬季:上午8:30-12:00,下午2:00-5:00
联系电话: 0577-88926307
收费标准
●是否收费
不收费
●收费依据
无
●是否支持网上支付
不支持
