无锡生育津贴申请办理对象+材料+流程(无锡生育津贴个人申请流程)

无锡生育津贴办理详情:
办理对象:符合享受生育保险相关待遇的参保女职工、参加生育保险且符合享受护理假生育津贴的男职工。
办理方式
1.窗口办理:无锡向社会公布经办服务大厅办理地址。
2.网上办理:可以通过“无锡医保”官微办理。
办理所需材料
1.医保电子凭证或有效身份证件或社保卡即可;
2.病历资料:包括门诊病历和出院小结等。
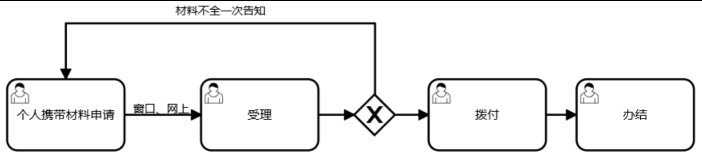
办理流程
1.参保单位经办人携带申报材料至当地经办机构(或网上根据提示提交材料)办理;
2.工作人员对材料是否符合办理条件进行审核,若材料符合办理条件即时受理,若材料不符合的,一次性告知到位;
3.审核通过的,完成支付,并反馈办理结果。
办理时间:10个工作日
办理流程图:

咨询电话:82411510
